各種氣體滅火系統防護區泄壓面積計算公式是什么,設計裝置個數怎么計算?
泄壓裝置的學名是“氣體滅火系統防護區自動泄壓裝置”,一般安裝在氣體滅火系統防護區,平時呈關閉狀態,滅火劑噴放時,當防護區內壓強超過設定開啟值時自動開啟,當防護區內壓強降低至設定關閉值以下時自動關閉,是一種起泄放壓力作用的裝置。
泄壓裝置作用
防護區需要設置泄壓口,是因為氣體滅火劑噴入防護區內,會顯著地增加防護區的內壓,如果沒有適當的泄壓口,防護區的圍護結構將可能承受不起增長的壓力而遭到破壞。
泄壓裝置分類
目前,根據是否需要配置電源,泄壓裝置可以分為兩類,一類是機械式自動泄壓裝置,另一類是電動式自動泄壓裝置。機械式自動泄壓裝置結構簡單、零部件較少,安裝、維護較為方便,產品價格較低,目前工程中常用的泄壓裝置以機械式為主。電動式自動泄壓裝置需配置壓力檢測器、電動執行結構等,產品控制精度較高,但需要外接電源并定期進行維護,同時產品價格較高,目前工程中應用較少。
氣體滅火系統防護區泄壓面積計算
1、七氟丙烷滅火系統的防護區泄壓口面積,宜按下式計算
如圖:
Fx=0.15*Qx/[(Pf)^1/2]
式中Fx——泄壓口面積(m2);
Qx——滅火劑在防護區的平均噴放速率(kg/s);
Pf——圍護結構承受內壓的允許壓強(Pa).
根據規范要求,防護區圍護結構承受內壓的允許壓強,不低于1200pa。在沒有準確參數的情況下,Pf值可以取1200Pa。
防護區的平均噴放速率Qx=設計用量W(KG)/噴射時間(s)
根據規范要求,七氟丙烷的噴射時間8至10秒,可以取8秒。
綜上所述
七氟丙烷滅火系統的防護區泄壓面積計算(簡化方案)
Fx=0.15*Qx/[(1200)^1/2]=0.15*W/8/[(1200)^1/2]=0.00054W(W為防火區的設計用量)
按以上公式就可以算出泄壓面積,根據每個泄壓裝置的有效泄壓面積,可以推算出的需要的泄壓裝置個數。(一般情況下,每個泄壓裝置的面積為0.12m2或者0.24m2)
比如:某防火區的七氟丙烷設計用量為1000kg,則防火區泄壓口面積為
Fx=0.00054W=0.00054*1000=0.54m2
假設選取有效泄壓面積為0.24m2泄壓裝置
泄壓裝置數量=0.54/0.24=2.25,取3個
如選取有效泄壓面積為0.14m2泄壓裝置
泄壓裝置數量=0.54/0.12=4.5,取5個
請注意,七氟丙烷滅火劑比空氣重,泄壓口應位于防火區凈高的2/3以上。
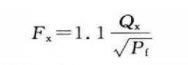
2、IG541氣體滅火系統防火區泄壓面積計算(簡化方案)
根據《氣體滅火系統的設計規范》GB50370-2005,IG541氣體滅火系統防火區泄壓面積計算如下:
Fx=1.1*Qx/[(Pf)^1/2]
式中Fx——泄壓口面積(m2);
Qx——滅火劑在防護區的平均噴放速率(kg/s);
Pf——圍護結構承受內壓的允許壓強(Pa).
根據規范要求,防護區圍護結構承受內壓的允許壓強,不低于1200pa。在沒有準確參數的情況下,Pf值可以取1200Pa。
防護區的平均噴放速率Qx=設計用量W(KG)/噴射時間(s)
根據規范要求,IG541混合氣體滅火劑噴射時間48秒(當噴放至設計用量的95%時,其噴放時間不應大于60s,且不應小于48s)。
綜上所述
Fx=1.1*Qx/[(Pf)^1/2]=1.1*W/48/[(Pf)^1/2]=0.00066W(W為防火區的設計用量)
同理,假設選取IG541設計用量為1000kg,則防護區的泄壓面積為0.00066W=0.00066*1000=0.66m2
選取有效泄壓面積為0.24m2泄壓裝置 則:0.66/0.24=2.75 取3個
2、全淹沒二氧化碳氣體滅火系統防火區泄壓面積計算(簡化方案)
根據《二氧化碳滅火系統設計規范》全淹沒二氧化碳防火區的泄壓口面積計算公式如下:
Ax=0.0076*Qt/[(Pt)^1/2]
式中:Ax——泄壓口面積(m2);
Qt——滅火劑在防護區的平均噴放速率(kg/min);
Pt——圍護結構承受內壓的允許壓強(Pa).
根據規范要求,防護區圍護結構承受內壓的允許壓強,不低于1200pa。在沒有準確參數的情況下,Pf值可以取1200Pa。
防護區的平均噴放速率Qt=設計用量W(KG)/噴射時間(min),根據規范要求,我們可以取噴射時間為1min。(全淹沒滅火系統二氧化碳的噴放時間不應大于1min,當撲救固體深位火災時,噴放時間不應大于7min,并應在前2min內使二氧化碳的溶度達到30%)。
綜上所述
Ax=0.0076*Qt/[(1200)^1/2]=0.0076*W/1/[(1200)^1/2]=0.00022W(W為防火區的設計用量)
比如:假設防護區二氧化碳設計用量為1000kg,則防護區的泄壓面積為0.00022W=0.00022*1000=0.22m2
選取有效泄壓面積為0.24m2泄壓裝置 則:0.22/0.24=0.92 取1個
視頻講解
非特殊說明,本文為本站原創(翻譯)文章,轉載請注明:本文轉自:江西鑫佳通科技股份有限公司。
本文連接:http://www.333huo.com/news/691.html
想了解更多請點擊===>>氣體滅火防護區面積 泄壓裝置
行業知識相關推薦
- [無泄壓,不滅火]氣體滅火系統防護區自動泄壓裝置介紹 2017-04-22
- 氣體滅火系統自動泄壓裝置的作用與選擇 2017-04-22
- 氣體滅火系統配套產品之自動泄壓裝置 2017-08-05
- 氣體滅火系統自動泄壓裝置的計算和設計 2017-08-12
- 氣體滅火設備中配套的電動泄壓口 2017-04-22
- 氣體滅火系統對防護區的要求 2017-09-13
- 氣體滅火系統設計中應注意的五大問題 2017-04-22
- 氣體滅火系統滅火場所為什么要用氣體滅火自動泄壓裝置 2018-01-06
- 氣體滅火系統防護區自動泄壓裝置設計和安裝使用 2017-03-06
- 氣體滅火中自動泄壓裝置 2017-06-01



相關評價: